gopay钱包app 理论物理研究所许军军副教授近期关于拓扑Haldane绝缘体非绝热动力学的研究成果获得英国物理学会Journal of Physics: Condensed Matter (JPCM)杂志编辑优选推荐(见//mp.weixin.qq.com/s/SaAkhp-EPOp0Gw_El_zYlQ)。
随着低量子比特位数的量子计算设备的实现及商业化,如何进一步提高其量子比特数是最终实现量子计算大面积商业应用的关键。而解决这一问题的难点在于,这一量子系统将极易受外界干扰而产生误差。因此,探索量子系统可以抵御外界破坏的新的机制,是一个受到理论及应用广泛关注的重要研究方向。
近期的研究发现对于对称保护拓扑物态即使初始态破坏了对称性,系统仍然可以很好地保持其拓扑特性,从而抵御外界破坏。一个更进一步的问题便是,如果对称保护物态的哈密顿量也失去了该对称性,那么系统在动力学演化的过程中是否还可以保持相应的拓扑特性?本工作针对这一问题给出了积极的回答。

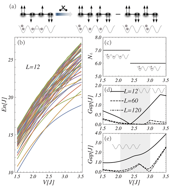
图1. Haldane绝缘体断链后的能谱特性
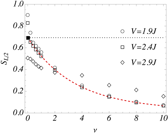
文章首先研究了光晶格中的拓扑Haldane绝缘体断链后的能谱特征(图1),发现系统的最低能级在深度Haldane项区域会出现交叉,显示了系统一级相变的存在,这一相变可由不同的半链粒子数分布来表征。进一步通过对系统动力学的研究发现,正是由于这一能级交叉的存在,系统的纠缠熵在该区域会显示出极强的稳定性,趋近于经典的AKLT态的值(Log[2])。为了定量地理解这一动力学过程,文中提出了简化的两能级模型,并给出了系统动力学纠缠熵的解析表达式,给出了深度Haldane区域动力学的精确描述(图2),从而揭示了对称保护拓扑系统抵御外界破坏性操控的新的机制。

图2. 纠缠熵动力学变化的解析解(虚线)与数值结果对比
全文见:
Junjun Xu, Non-adiabatic dynamics of the entanglement entropy in a symmetry-breaking Haldane insulator, J. Phys.: Condens. Matter 34, 085402 (2022)
DOI: //iopscience.iop.org/article/10.1088/1361-648X/ac3b25